激活函数
激活函数能为神经网络引入非线性,常见的激活函数根据设计思路分类如下:
- S型激活函数:形如S型曲线的激活函数。包括Step,Sigmoid,HardSigmoid,Tanh,HardTanh
- ReLU族激活函数:形如ReLU的激活函数。包括ReLU,Softplus,ReLU6,LeakyReLU,PReLU,RReLU,ELU,GELU,CELU,SELU
- 自动搜索激活函数:通过自动搜索解空间得到的激活函数。包括Swish,HardSwish,Elish,HardElish,Mish
- 基于梯度的激活函数:通过梯度下降为每个神经元学习独立函数。包括APL,PAU,ACON,PWLU,OPAU,SAU,SMU
- 基于上下文的激活函数:多输入单输出函数,输入上下文信息。包括maxout,Dynamic ReLU,Dynamic Shift-Max,FReLU
它们将非线性特性引入到我们的网络中。激活函数可以分为饱和激活函数与不饱和激活函数,激活函数的右饱和指当x xx趋向于正无穷时,函数的导数趋近于0。
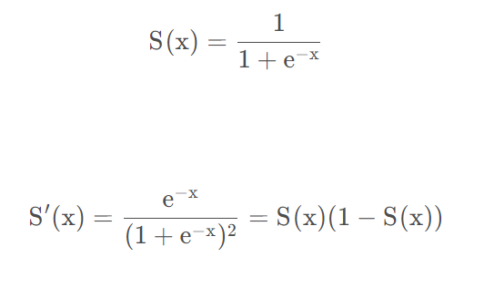
Sigmoid函数
是一个在生物学中常见的S型函数,由于其单增以及反函数单增等性质,Sigmoid函数常被用作神经网络的激活函数,将变量映射到[ 0 , 1 ] [0, 1][0,1]之间。


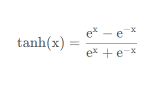
tanh函数
双曲正切函数在数学语言上一般写作tanh \tanhtanh。它解决了Sigmoid函数的不以0为中心输出问题,然而,梯度消失的问题和幂运算的问题仍然存在。


ReLU函数
是一种人工神经网络中常用的激活函数


Leaky ReLU函数
它是一种专门设计用于解决Dead ReLU问题的激活函数:


ELU函数


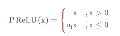
PReLU 函数
也是 ReLU 的改进版本

softmax

swish
self-gating的优点在于它只需要简单的标量输入,而普通的gating则需要多个标量输入。这使得诸如Swish之类的self-gated激活函数能够轻松替换以单个标量为输入的激活函数(如:ReLU),而无需更改隐藏容量或参数数量。
Swish函数的特点
有助于防止慢速训练期间,梯度逐渐接近0并导致饱和
导数恒大于0。
平滑度在优化和泛化中起了重要作用。


Maxout函数
它可以理解为是神经网络中的一层网络,类似于池化层、卷积层一样。我们也可以把Maxout函数看成是网络的激活函数层

Softplus函数
Softplus函数可以看作是ReLU函数的平滑。根据神经科学家的相关研究,Softplus函数和ReLU函数与脑神经元激活频率函数有神似的地方。也就是说,相比于早期的激活函数,Softplus函数和ReLU函数更加接近脑神经元的激活模型,而神经网络正是基于脑神经科学发展而来,这两个激活函数的应用促成了神经网络研究的新浪潮。


Softsign函数
Softsign函数是Tanh函数的另一个替代选择。就像Tanh函数一样,Softsign函数是反对称、去中心、可微分,并返回-1和1之间的值。其更平坦的曲线与更慢的下降导数表明它可以更高效地学习,比tTanh函数更好的解决梯度消失的问题。另一方面,Softsign函数的导数的计算比Tanh函数更麻烦。


高斯误差线性单元为Gaussian Error Linerar Units
高斯误差线性单元为Gaussian Error Linerar Units,来源于论文《Gaussian Error Linear Units (GELUs)》。在神经网络的建模过程中,模型很重要的性质就是非线性,同时为了模型泛化能力,需要加入随机正则,例如dropout(随机置一些输出为0,其实也是一种变相的随机非线性激活),而随机正则与非线性激活是分开的两个事情, 而其实模型的输入是由非线性激活与随机正则两者共同决定的。
高斯误差线性单元正是在激活中引入了随机正则的思想,是一种对神经元输入的概率描述,直观上更符合自然的认识,同时实验效果要比ReLU与ELU都要好。
GELUs其实是dropout、zoneout、ReLU的综合,GELU对于输入乘以一个[ 0 , 1 ] [0,1][0,1]组成的mask,而该mask的生成则是依概率随机的依赖于输入。假设输入为X XX, mask为m mm,则m mm服从一个伯努利分布Φ ( x ) = P ( X < x ) \Phi(x)=P(X<x)Φ(x)=P(X<x),其中X XX服从标准正态分布。这么选择是因为神经元的输入趋向于正态分布,这么设定使得当输入x xx减小的时候,输入会有一个更高的概率被dropout掉,这样的激活变换就会随机依赖于输入了。
